4月9日,记者从中国科学院青岛生物能源与过程研究所(以下简称“青岛能源所”)获悉,该所杨勇研究员带领的低碳催化转化研究组自主开发出新型双功能铁纳米杂化结构催化剂。
据杨勇介绍,烯烃氧化反应是一类重要的工业反应,其氧化产物包含醛、酮、1,2-二酮、环氧化合物等,这些氧化产物在合成香料、医药中间体以及涂料、油漆等方面都具有极其广泛的应用。传统烯烃氧化反应方法(如:臭氧氧化、Wacker氧化、Lemieux-Johnson氧化、烯烃环氧化等)往往需要使用储量低、价格昂贵、毒性大的贵金属催化剂,或者需要当量甚至是过量的重金属、高碘化合物作为氧化剂,反应条件苛刻、操作复杂、催化活性低、选择性差,严重制约了烯烃氧化反应在工业生产中的应用。
杨勇带领的低碳催化转化研究组在前期高效高稳定性铁基纳米结构催化剂研究的基础上(Chem. Sci., 2019, 10, 10283, Hot article),以可再生生物质为C和N源及廉价的Fe(NO3)3、PPh3为金属前驱体和磷源,通过便捷高效的制备工艺构建了一种兼有氧化性和Lewis酸性的双功能铁基纳米结构催化剂Fe@NPC-T(T代表煅烧温度)。具有氧化性的Fe-Nx和Lewis酸性FePO4双活性位点共同存在于催化剂表面,能够实现烯烃在温和条件下以叔丁基过氧化氢 (TBHP) 为氧化剂、水为溶剂的高效氧化转化。研究发现,烯烃经形成环氧化合物中间,通过反应条件的调控能够使反应路径在分子内Meinwald重排和分子间亲核进攻之间进行有效切换,实现烯烃到酮和1,2-二酮等重要合成砌块分子的高效转化 (如图1所示)。
杨勇表示,本研究工作将非贵金属纳米结构催化剂的研究由单一功能拓展到了双功能领域,进一步丰富了催化剂设计思路,也为烯烃氧化转化提供了绿色高效新路径。相关研究成果发表在《美国化学会催化学报》ACSCatalysis(ACSCatal., 2020, 10, 4617.)上。文章第一作者为青岛能源所宋涛助理研究员,通讯作者为Jianliang Xiao教授和杨勇研究员。

双功能铁纳米杂化结构催化剂催化烯烃氧化转化。宋涛 供图
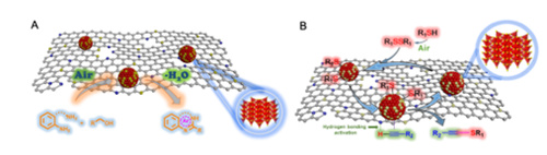
近期,该团队以廉价低毒、储量丰富的非贵金属镍盐及生物质竹笋为原料、以植酸为磷源,通过磷掺杂策略制得超细高分散纯相Ni2P纳米结构催化剂,并成功实现含氮杂环和炔基硫醚等重要精细化学品的高效绿色合成(如图2所示)。相关研究结果发表于《绿色化学》Green Chem., 2020,22, 651和《美国化学会可持续化学与工程》ACS Sustain. Chem. Eng., 2020,8, 267.

超细高分散Ni2P纳米结构催化剂在合成氮杂环(A)和炔基硫醚(B)反应中的应用。 宋涛 供图